Lerntagebuch (hier gehts zum Teil B. Statistik)
A. Finanzmathematik und
Wachstumsprozesse
1) Die "Zinseszins-Formel":
Beispielrechnungen
gilt für
- eine festgelegte
Größe Ko (Wert zu Beginn des Wachstums)
- mit prozentualem Wachstum um p%
- über n Wachstumsphasen
- mit q = p% / 100 +1
Wichtig:
I. Gilt auch bei Abbauprozessen mit p% < 0, also 0 < q <
1 !
II. Die Formel kann nach Ko , q und n
umgestellt werden!
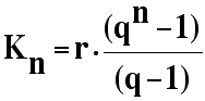
2) Die "Ratenspar-Formel":
Beispielrechnungen
gilt für
- eine am Ende jeder
Wachstumsphase zu addierende Größe r (regelmäßige nachschüssige
Rate)
- und zusätzlichem
prozentualem Wachstum um p%
- über n Wachstumsphasen
- mit q = p% / 100 +1
Wichtig:
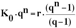
I. Kommt r schon zu Beginn jeder Wachstumsphase hinzu ("vorschüssig"),
ist dieses r
einmal mit q zu multiplizieren !
II. Gilt auch bei Abbauprozessen mit p% < 0, also 0 < q <
1; hier gibt es dann die Besonderheit eines sog. "Grenzwertes" Kn
für große Werte von n mit Kn= r / (1-q)
III. Bei der Umformung nach n ist zu berücksichtigen, dass n auf
ganzzahlige Werte gerundet werden sollte und dann r oder Kn
entsprechend angepasst werden.
IV. Diese Formel kann nur nach r und n umgestellt werden; q muss also
systematisch gesucht werden,
einen groben ersten Näherungswert für q liefert in diesem Fall die
Überschlagsrechnung:

3) Die "Kredit-Formel" für abgezahlte Kredite
ergibt sich aus der
Kombination von Zinseszins- und Ratenspar-Formel:
Beispielrechnungen
gilt bei
- einer Kreditaufnahme Ko (Schulden zu
Beginn)
- den Zinsen p% für jede Abzahlungsphase
- der Abzahlungsrate r
- über n Abzahlungsphasen
- mit q = p% / 100 +1
Wichtig:
I. Diese Formel kann auch zur Investitionsprüfung genutzt werden !
II. Hier hat es keinen Sinn mit Werten für p% < 0 zu rechnen !
III. Diese Formel kann nur nach Ko, r
und n umgestellt werden; q muss wieder
systematisch gesucht werden (s.o.)!
IV. Die Rate muss höher sein, als die in jeder Abzahlungsphase
anfallenden Zinsen, sonst können die Schulden nie getilgt werden!
V. Bei der Umformung nach n, sollte n auf ganzzahlige Werte abgerundet
werden und die Restrate r+Kn mit der
Restschuldformel bestimmt werden:

Hinweis: Diese Restschuldformel kann auch zur Bausparrechnung genutzt
werden, wenn das - in der Mitte durch ein + ersetzt wird! Beispielrechnungen
4) Das "geometrische Mittel" aus verschiedenen Wachstumsfaktoren
wird für den "mittleren Zinssatz" bei verschiedenen Zinssätzen benötigt:

bei verschiedenen Zinssätzen muss also
- zu jedem Prozentwert p% der entsprechende Zinsfaktor q bestimmt,
- jeder Zinsfaktor mit den anderen multipliziert,
- die entsprechende Wurzel qg aus dem Ergebnis
berechnet und
- der zu qg gehörende Prozentwert angegeben
werden; dies ist dann der "mittlere Zinssatz".