Lerntagebuch (hier gehts zum Teil A.
Finanzmathematik)
B. Statistik
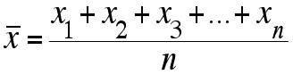
1) Der "arithmetische Mittelwert":

gilt für
- verschiedene xi-Werte
- die Anzahl der xi-Werte ist n
Wichtig
Anschauliche Formulierung: Addiere alle xi-Werte und teile
das Ergebnis durch die Anzahl aller Werte!
2) Die "Spannweite":
SPWx = xmax - xmin
gilt für
- verschiedene xi-Werte
Wichtig
Anschauliche Formulierung: Bilde die Differenz von größtem und
kleinsten der xi-Werte!
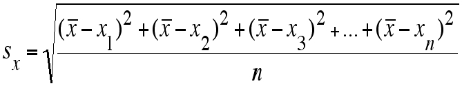
3) Die "Streuung":

gilt für
- verschiedene xi-Werte
- die Anzahl der xi-Werte ist n
Wichtig
I. Anschauliche Formulierung: Addiere die Quadrate aller Differenzen
zwischen Mittelwert und den einzelnen xi-Werten; teile das
Ergebnis durch die Anzahl aller Werte und ziehe dann daraus die Wurzel!
II. Die Streuung kann nie größer als die halbe Spannweite sein!